![]() |
|
| 產品貨號:622203-24/622503-48/622203-96 | |
| 產品名稱:伯優 ? 微量 mRNA 擴增試劑盒 | |
| 產品規格:10rxns/48rxns/96rxns | |
| 貯藏溫度:-20℃保存伯優微量 mRNA 擴增試劑盒;-80℃保存 Control Total RNA(100 ng/μL)。 | |
| 有效期限:12 個月 | |
| 產品用途:微量 mRNA 擴增。 |
本產品能夠以 1 -1000 細胞或 10pg?10ng 純化后總 RNA 為模板,采用 Oligo(dT)VN Primer 為逆轉錄引物,可獲得高質量的全長 cDNA。試劑盒操作簡便,合成的 cDNA 可兼容特異性文庫制備試劑盒,構建文庫、測序并進行數據分析。
1、可靠的數據 — 添加 UMI,可以獲得更高準確性的基因或轉錄本檢測數;
2、高靈敏度 — 可用于 10 pg-10 ng 的總 RNA 或 1 -1000 個細胞起始;
3、靈活搭配各類建庫試劑盒 —本試劑盒不含 index,合成的 cDNA 后續可銜接各類文庫制備試劑盒。
![]() ▲cDNA 質量分析 |
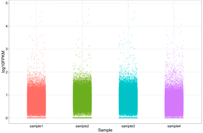
![]() ▲轉錄組測序結果 |



